加密货币的乘数
作者 | Rodney J. Garratt, Maarten R.C. van Oordt 来源 | Journal of Corporate Finance 编译 | 纪如昱
2025年10月,Journal of Corporate Finance发布了“The Crypto Multiplier”一文。文章聚焦于加密货币市场的高波动性现象,提出“加密乘数”概念,用以衡量投资者资金净流入或流出对加密货币均衡市值的放大效应。文章认为,该乘数的大小取决于加密货币作为支付手段的流通比例:用于支付的代币比例越低,乘数效应越强,价格波动也越大。作者通过理论推导与实证分析,结合区块链数据验证了投机性持有比例与未来汇率波动之间的正相关关系。研究结果对市场参与者评估大额加密货币持仓的流动性风险具有重要启示,尤其在抵押融资与初创企业融资场景中,需警惕市值与清算价值之间的显著差距。中国人民大学金融科技研究所对研究核心部分进行了编译。
引言
加密货币自诞生以来,价格波动性远高于传统法定货币,已成为学界与业界的关注焦点。如图1所示,主流加密货币如比特币、以太坊的日收益率标准差时常突破10%,而主要法定货币的波动率大多维持在1%以下。这种极端波动性不仅影响了投资者的风险预期,也促使监管机构如巴塞尔银行监管委员会对银行持有的加密货币资产施加最高风险权重。传统研究将波动性归因于加密货币供给缺乏弹性或不同币种间的转换便利性,但这些视角未能深入揭示持有者动机与市场结构之间的内在联系。本文在此基础上,提出“加密乘数”这一核心概念,旨在从均衡角度刻画投资者资金流动对加密货币市值的系统性影响。

加密乘数的理论构建基于一个关键观察:加密货币虽可作为支付工具,却极少作为计价单位。在实际交易中,商品价格通常以法币标价,而加密货币支付数量则随汇率实时调整。这一特性使得加密货币的汇率形成机制与传统货币有所不同,也为乘数效应的产生提供了土壤。加密乘数的大小反映了市场对投资性需求的敏感程度:当绝大多数代币被囤积而非用于支付时,即便是小额资金流动也可能引发市值的剧烈变动。文章进一步利用区块链数据验证了这一理论,并指出当前主流加密货币中,超过75%的比特币与60%的以太坊在过去六个月内未曾参与支付,暗示其乘数可能极高。
相关文献
加密货币的经济学研究近年来呈爆发式增长,涵盖了价格形成、平台代币融资、共识机制设计等多个维度。在价格理论方面,Athey et al. (2016)、Schilling & Uhlig (2019) 等多位学者指出,加密货币不具备计价单位功能是理解其价格行为的关键前提。这一假设也成为本文推导加密乘数的基础。此外,Bolt & Van Oordt (2020) 通过扩展费雪方程式,建立了加密货币汇率与支付需求之间的理论联系,为本文提供了重要借鉴。
在代币经济与融资模式方面,Cong et al. (2021) 与Garratt & Van Oordt (2022) 研究了企业如何通过发行代币进行融资。另一方面,共识机制与区块链安全性的经济激励也是研究热点,Budish (2018)、Prat & Walter (2021)等学者从算力竞争与节点行为角度探讨了区块链的稳定性问题。值得注意的是,近期资产定价文献中出现了与加密乘数类似的概念,如Gabaix & Koijen (2021) 提出的股票与债券组合的“需求乘数”,其估计值在3至8之间。然而,加密货币乘数的特殊性在于其与支付功能的直接关联:投资性持有挤占了支付用途的代币供给,从而放大了价格对资金流动的响应。在我们模型的最简化版本中,加密货币乘数理论上等于支付代币占比的倒数。
加密乘数的理论推导
1. 加密货币非计价单位的特性
加密乘数的推导始于一个基本事实:加密货币在现实中极少作为计价单位使用。商品与服务价格通常以美元等法币标示,消费者在支付时根据实时汇率换算为相应数量的代币。例如,一辆标价6万美元的汽车,在比特币汇率为3万美元时可支付2枚比特币;若汇率跌至2万美元,则需支付3枚比特币。这种价格灵活性源于现代通信技术允许商户实时调整代币支付数量,或依赖第三方支付服务商完成换算与结算。因此,加密货币主要作为支付媒介而非价值尺度,这一特性对汇率形成机制具有深远影响。
2. 汇率方程式的建立
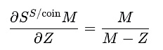
为刻画加密货币的汇率决定机制,作者引入经典的数量方程式:MV=PT。其中,P表示单笔支付的平均代币数量,T为交易笔数,M是代币总供给量,V代表货币流通速度。在加密货币语境下,代币可被划分为用于支付的活跃部分与作为储值工具的非活跃部分。令Z表示未被用于支付的代币数量,其流通速度为零;剩余M−Z的代币具有平均流通速度V*。代入数量方程后可得:

电信技术让商家在顾客结账时,能近乎实时地更新其需支付的硬币数量。当接受加密货币支付时,商家只需通过将购买金额(P美元)除以该加密货币的最新汇率(P美元/枚),即可计算出顾客需支付的加密货币单位数S,也就是:

定义Ts=Ps*T为以美元计价的支付总额,最终推导出加密货币的汇率方程式:

该方程表明,汇率与支付需求成正比,与可用于支付的代币数量成反比。其成立仅依赖于两个基本假设:支付时代币数量由法币价格与汇率决定(假设1),且加密货币至少在某些交易中被用作支付工具(假设2)。
3. 乘数公式的导出与含义
在汇率方程基础上,作者进一步引入两个假设:代币总供给M对市场条件无弹性(假设3,适用于比特币等发行规则预设的加密货币),以及投机性持有Z的变动不会永久影响以美元计价的支付需求 Ts/V*(假设4)。在此条件下,可推导出加密乘数的表达式:

该乘数衡量了1美元净资金流入对加密货币均衡市值的放大效应。其直观经济含义在于:投资者购入1美元代币后,支付用途的代币数量减少,为维持支付需求的美元价值不变,汇率必须上升以使剩余支付代币的总价值增加1美元。由于支付代币仅占总量的M−Z,为使其总价值增加1美元,全部M枚代币的总价值需增加M/(M−Z)美元。乘数的最小值为1(当所有代币均用于支付时),且随支付代币比例下降而急剧上升。例如,若仅5%的代币用于支付,乘数将高达20。区块链数据显示,主流加密货币的支付比例极低,暗示其乘数可能远超传统资产。

4. 乘数与内生支付需求
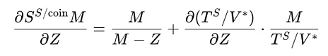
基本乘数模型假设支付需求不受投机行为影响,但现实中,投机活动可能通过网络效应或交易成本变化对支付使用产生持久影响。为捕捉这一复杂性,作者扩展模型,允许支付需求内生响应:

扩展后的乘数增加了一项,其符号取决于投机持有与支付需求在均衡中的关系。若二者正相关(如投机活动提升加密货币知名度),乘数将进一步放大;若负相关(如投机推高交易费用),乘数可能减弱。然而,理论分析表明,要使乘数低于1,需满足严苛条件,即1美元资金流入导致支付需求减少超过Z/M的比例。鉴于主流加密货币的Z/M比例极高,乘数低于1的可能性较低。
5. 理论模型的适用场景
加密乘数模型的有效性依赖于前述三项核心假设的成立程度,其适用范围因而存在局限。首先,模型仅适用于至少在某些交易中被用作支付工具的加密货币(满足假设2)。原生代币如比特币、以太坊因其在区块链中用于支付交易费用或执行智能合约,天然符合这一条件。其次,模型假设代币总供给无弹性(假设3),故不适用于稳定币,因其供给会随需求调整以维持汇率稳定。最后,若支付过程中存在显著摩擦(如汇率溢价或手续费),假设1可能被违反。作者指出,若将摩擦建模为固定比例的费用,乘数表达式仍保持不变,但若资金流动引致费用持续变化,则实际乘数可能偏离理论值。
投机持有与波动性的实证分析
1. 数据与方法
为验证加密乘数的现实相关性,作者选取24种区块链原生代币,收集其2014年至2023年的季度数据,涵盖价格、区块链交易与地址余额等信息。被解释变量为未来180日收益率的年化标准差,核心解释变量为三个投机持有比例的代理变量,分别为:地址余额超过总供给0.1%的代币份额;前100大地址持有的代币份额;基于上述变量及“余额超100万美元地址份额”与“小额地址数量”构建的主成分变量。
控制变量包括链上交易频率、市值、平均交易金额与谷歌搜索指数。所有解释变量均滞后一期,以缓解内生性问题。

2. 主要发现
回归结果显示,所有投机代理变量均与未来波动率呈显著正相关。以主成分变量为例,其系数在固定效应模型中为0.683,意味着该变量从10%分位数升至90%分位数,将导致未来180日日波动率上升约3个百分点。这一结果在更换波动率度量(如平均绝对偏差、风险价值)、调整预测区间(90日或26周)及将代理变量转换为乘数形式后依然稳健。




控制变量中,谷歌搜索指数与波动率正相关,呼应了投资者关注度驱动价格波动的文献发现;市值与波动率负相关,表明规模较大的加密货币波动性较低。
3. 对大额持仓估值的影响
加密乘数的核心政策含义在于警示市场参与者审慎评估大额加密货币持仓的流动性风险。理论表明,大规模投机头寸的平仓可能对价格产生显著冲击,除非有其他投机者承接。这一风险在现实案例中得以印证:2014年,Ripple联合创始人McCaleb宣布计划出售其持有的9% XRP代币后,尽管供给面最大增幅仅为10%,XRP汇率在公告后暴跌逾40%。Ripple最终通过法律协议将其出售计划延长至七年以上,以缓解市场压力。

类似地,名人代言或监管动向(如美国证交会批准比特币现货ETF)可能引发资金大规模流入,推高市值。然而,若该加密货币缺乏实质支付需求,其高乘数特性将导致价格对资金流动过度敏感,进而放大波动性。投资者在接受大额加密货币作为抵押品或融资对价时,需清醒认识到市场价值与清算价值之间可能存在的巨大差距。
结论与启示
本文通过构建加密乘数理论框架,系统阐释了加密货币高波动性的结构性成因。乘数大小直接关联于代币的支付用途比例:支付功能越弱,乘数越高,价格对资金流动的反应越剧烈。实证证据进一步证实,投机性持有比例对未来汇率波动具有预测能力。
研究启示在于,加密货币市场的波动性并非偶然,而是其作为投资资产而非支付工具的本质使然。除非加密货币的主流用途从投机转向支付,否则高波动性或将持续存在。对投资者而言,需警惕高乘数加密货币的流动性风险,避免将市场价值简单等同于清算价值。对监管机构而言,理解乘数机制有助于制定更审慎的风险管理标准。未来研究可进一步探索乘数在不同市场周期与政策环境下的动态变化,以及支付技术创新对乘数效应的潜在削弱作用。

币安网
欧易OKX
HTX
Coinbase
大门
Bitget
K网(Kraken)
Bybit
双子星(Gemini)
Upbit
泰达币
比特币
以太坊
USD Coin
First Digital USD
Solana
OFFICIAL TRUMP
瑞波币
大零币
币安币